MIC

R-CMD-check

Important updates

As of version 2.0.0 the MIC package has being refocused to provide MIC-specific analysis and validation utilities. Genomics-related functions (PATRIC download helpers, genome -> \(k\)-mer conversion, \(k\)-mer utilities, and similar) have been ported to a new package, faLearn.

To continue using these functions, simply install and load the faLearn package alongside MIC:

# install.packages("remotes")
remotes::install_github("agerada/faLearn")
library(faLearn)

Introduction

MIC is an R package for the analysis of minimum inhibitory concentration (MIC) data. The package was designed to be compatible with the AMR, in particular most of the functions in MIC are designed to accept and return AMR objects, such as mic and sir. The primary functions in MIC are designed towards validation studies of minimum inhibitory concentrations, however it also can (optionally) be used to support the construction of machine learning models that predict MIC values from genomic data.

Features

Installation

CRAN

install.packages("MIC")

GitHub

# install.packages("remotes")
remotes::install_github("agerada/MIC")

Example

Load the MIC package – it is highly recommended that AMR is also loaded. Where possible, MIC functions maintain compatibility with AMR objects, in particular the mic and sir classes.

library(MIC)
#> 
#> Attaching package: 'MIC'
#> The following object is masked from 'package:base':
#> 
#>     table
library(AMR)

To compare two mic vectors (e.g., one from a gold standard and one from a prediction or investigational assay), the compare_mic function can be used. An example dataset of MIC values is provided with the package, which will be used here.

data("example_mics")
head(example_mics)
#>      gs  test           mo  ab
#> 1 0.002 0.002 B_ESCHR_COLI GEN
#> 2 0.004 0.002 B_ESCHR_COLI GEN
#> 3     8    16 B_ESCHR_COLI GEN
#> 4 0.008 0.016 B_ESCHR_COLI GEN
#> 5    64    64 B_ESCHR_COLI GEN
#> 6  0.06  0.06 B_ESCHR_COLI GEN

The dataset contains MIC values (in mic format) for a “test” assay, and a “gold standard” (gs) assay. We will use compare_mic to compare the MICs and validate the “test” assay:

val <- compare_mic(gold_standard = example_mics$gs, test = example_mics$test)
val
#> MIC validation object with 300 observations
#> Agreement type: essential

Calling summary provides the essential agreement (EA) rates and assay bias:

summary(val)
#> MIC validation summary
#> Essential agreement: 267 (89%)
#> Bias: -7

If organisms and antimicrobials are provided, compare_mic will also calculate and return the categorical agreement (CA) rates, in the form of minor, major, and very major errors:

val <- compare_mic(gold_standard = example_mics$gs, test = example_mics$test,
                   mo = example_mics$mo, ab = example_mics$ab)
val
#> MIC validation object with 300 observations
#> Agreement type: essential and categorical
#> Antibiotics: GEN, MEM, AMX
#> Organisms: B_ESCHR_COLI

This time, calling summary will provide a breakdown of the categorical agreement rates in addition to the EA rates:

summary(val)
#> MIC validation summary
#> Antibiotic: AMX, GEN, MEM
#> Organism: B_ESCHR_COLI
#> Essential agreement: 267 (89%)
#> Resistant: 113 (37.67%)
#> Minor errors: 0 (0%)
#> Major errors: 6 (2%)
#> Very major errors: 8 (2.67%)
#> Mean bias: -7
#> N: 300
#> *Use as.data.frame() to see full summary*

Using as.data.frame allows us to continue working with the summarised results:

head(as.data.frame(val))
#>   gold_standard  test essential_agreement  ab           mo gold_standard_sir
#> 1         0.002 0.002                TRUE GEN B_ESCHR_COLI                 S
#> 2         0.004 0.002                TRUE GEN B_ESCHR_COLI                 S
#> 3             8    16                TRUE GEN B_ESCHR_COLI                 R
#> 4         0.008 0.016                TRUE GEN B_ESCHR_COLI                 S
#> 5            64    64                TRUE GEN B_ESCHR_COLI                 R
#> 6          0.06  0.06                TRUE GEN B_ESCHR_COLI                 S
#>   test_sir error
#> 1        S  <NA>
#> 2        S  <NA>
#> 3        R  <NA>
#> 4        S  <NA>
#> 5        R  <NA>
#> 6        S  <NA>

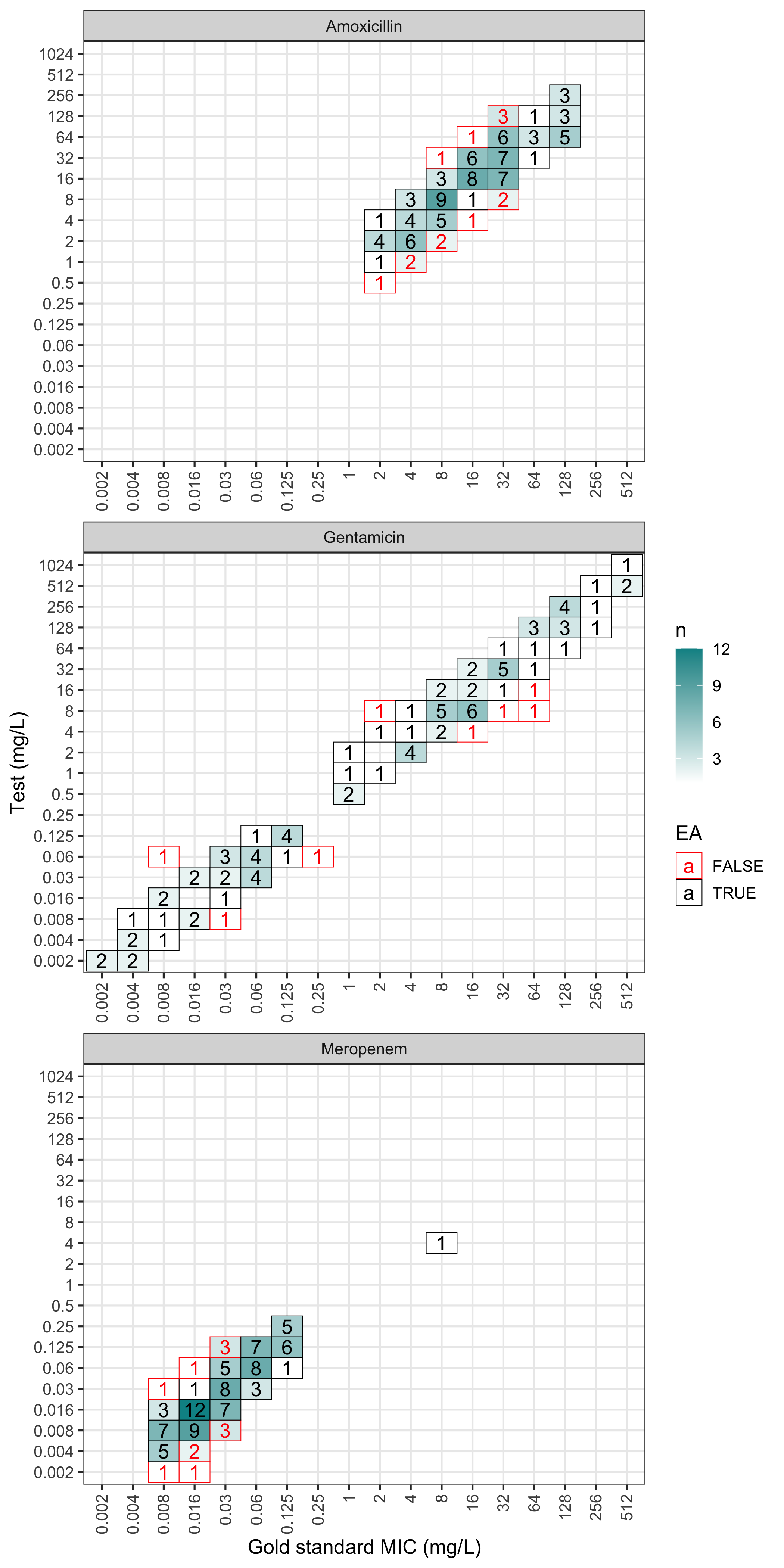
The results of an mic_validation can be plotted in a confusion matrix (failed essential agreements are in red):

plot(val)

The plot can also be faceted by antimicrobial:

plot(val, facet_wrap_ncol = 1)

The table function can be used to generate a table of the results:

# generate table for MEM
mem_dat <- subset(example_mics, ab == "MEM")
mem_val <- compare_mic(gold_standard = mem_dat$gs, test = mem_dat$test)
table(mem_val)